Pääkaupunkiseudun raitiotien suunnitteluohje
Suistumissuojaus
Raitiovaunun erillinen suistumissuojaus (esim. suojakisko) on toteuttava:
- sillalla tai korkealla penkereellä, kun kaarresäde on 300 m tai pienempi
- sillalla tai korkealla penkereellä, kun radan rakenne on suljettu ja rata kulkee sillan tai penkereen ulkoreunassa
- riskiarvioinnin perusteella tunnistettuihin kohteisiin, joita voivat olla esimerkiksi merkittävien väylien tai vesistöjen ylitykset
Raitiovaunun suistumisen ehkäisy on ensisijainen toimenpide, sen seurauksien lieventäminen toissijainen. Seuraavissa kohdissa on kuvattu yleisimmät riskitarkasteluissa huomioitavat suistumismuodot.
Kaatumisvarmuus
Raitiovaunun kaatuminen on harvinainen, mutta vaarallinen tilanne. Matkustajiin ja kuljettajaan kohdistuvien henkilövahinkojen todennäköisyys on raitiovaunun kaatuessa suuri. Kaatumisen edellyttää käytännössä aina huomattavaa ylinopeutta kaarteessa tai vaihteessa. Kaatumisriskin arvioinnissa ja hallinnassa tulee huomioida:
- Pitkien suorien tai alamäkien päässä sijaitsevien kaarteiden geometria ja näkyvyys eri liikennetilanteissa
- Vaihteiden sijoittelu ja ohjaustapa
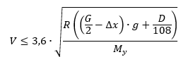
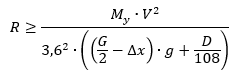
Kaatumisnopeus riippuu kalustotyypin massakeskiön korkeudesta ja mahdollisesta sivusiirtymästä mm. sivukiihtyvyyden, tuulikuorman, matkustajakuorman vuoksi. Raitiovaunun vakaus kaarteessa edellyttää, että raitiovaunua kaatava momentti ulkokiskon suhteen on pienempi kuin palauttava momentti. Tämä voidaan ilmaista yhtälöllä:

Jossa My on massakeskiön korkeus ulkokaarteen kiskon tasosta, av vaunun sivukiihtyvyys, Mx vaunun massakeskiön etäisyys ulkokiskosta. Yhtälöön voidaan sijoittaa av:n tilalle raitiovaunun sivukiihtyvyyden yhtälö ja Mx:n tilalle puolikas raideleveydestä G ja massakeskipisteen sivusiirtymä Δx:

Järjestelemällä yhtälö uudelleen voidaan laskea kriittinen nopeus tietylle kaarresäteelle:

Tai kriittinen kaarresäde tietylle nopeudelle:

Pyörän laipan kiipeämistä vastaan suojautuminen
Raitiovaunun pyörän laippa saattaa kaarteessa tai vaihteessa nousta kiskon päälle. Raitiovaunun kaatuminen sen noustessa pois kiskoilta on harvinaista. Henkilövahinkojen ja aineellisten vahinkojen riskit syntyvät raitiovaunun mahdollisuudesta törmätä muihin liikkujiin, rakenteisiin tai rakennuksiin tai raitiovaunun mahdollisuuteen pudota esimerkiksi penkereeltä tai sillalta.
Pyörän nousua kiskoilta voi kuvata Nadalin epäyhtälöllä

Yhtälössä L on pyörään vaikuttava pystysuuntainen voima, V vaakasuuntainen voima, δ kiskon ja pyörän kosketuspintojen ryntökulma ja µ kiskon ja pyörän (laipan) välinen kitkakerroin.

Pyörä nousee kiskolta, mikäli vaakasuuntaisen voiman suhde pystysuunnassa vaikuttavaan voimaan (epäyhtälön vasen puoli) ylittää kiskopyöräkontaktin kriteerien määräämän suhteen (epäyhtälön oikea puoli), jolloin laippa lakkaa liukumasta kiskoa vasten ja kipuaa sitä ylös. Kiskoilta nousun ehkäisemiseksi tulisi siksi pyrkiä pitämään:
- V, pyörään vaikuttava pystysuuntainen voima korkeana
- L, vaakasuuntainen voima matalana
- δ, kiskon ja pyörän kosketuspintojen ryntökulma suurena
- µ, kiskon ja pyörän (laipan) välinen kitkakerroin matalana
Todennäköisyyteen vaikuttavat mm. seuraavat tekijät:
| Vaikuttava tekijä | Parametri | Vaikutusmekanismi |
| Raitiovaunun ajonopeus kaarteissa | L | Suuret nopeudet kasvattavat vaunuun ja kisko–pyöräkontaktiin kohdistuvaa sivuttaiskiihtyvyyttä. |
| Radan kallistusviisteet, kierous ja raitiovaunun kiertojäykkyys | V | Radan kallistusviisteet aiheuttavat raitiovaunun korin kiertymistä, jolloin pyörät kuormittuvat epätasaisesti. Erityisesti pystytaitteisiin yhdistettynä tämä voi johtaa tilanteeseen, jossa pyörä nousee kiskon kulkupinnalta. |
| Kiskojen ja pyörien kuluneisuus | δ | Kiskon ja pyörän laipan kuluessa näiden välinen ryntökulma pienenee ja pyörä nousee helpommin kiskoilta. |
| Ruoste tai työstöjäljet kiskossa tai pyörän laipassa | µ | Suurentavat kiskoilta kiipeämisen riskiä lisäämällä kiskon ja pyörän laipan välistä kitkaa. |
| Kiskon tai pyörän laipan voitelu | µ | Vähentää kiskoilta kiipeämisen riskiä pienentämällä kiskon ja pyörän laipan välistä kitkaa. |
Kiskopyörävoima määrittäminen edellyttää kaluston raiteen yhteistoiminnan tarkastelua.
Muut suistumisen syyt
Kulkupinnan epäjatkuvuus tai asentovirhe
Raitiovaunu voi suistua pyörän osuessa kiskon murtumakohtaan tai vastavaihteeseen ajettaessa vaihteen murtuneeseen risteyskärkeen tai auki jääneeseen vaihteen kieleen.
Kiskon katkeamisesta, murtumisesta tai kaatumisesta johtuvia suistumisia ennaltaehkäistään seuraamalla radan kuntoa ja oikea-aikaisella kunnossapidolla.
Kiskonmurtumien riski on kohonnut kireillä pakkasilla kiskoon kohdistuvan vetorasituksen takia. Kiskon ja kiskonkiinnitysten hajavirtakorroosio lisää kiskonvaurioiden riskiä.
Vieras kappale tai aine laippaurassa
Suljetulla ratarakenteella kiskon viereen jäävään laippauraan joutuneiden esineiden yli ajaminen voi nostaa raitiovaunun kiskoilta. Tavanomaisin vieras kappale laippaurassa on ajoneuvosta irronnut rengaspultti.
Kiskouraan kertyneen hiekan ja jään yli ajaminen saattaa niin ikään nostaa raitiovaunun laipan varassa kiskoilta. Kiskouran puhtaudesta tulee huolehtia suljetuilla päällysrakenteilla yleisesti ja urakiskoraiteella erityisesti. Jään ja hiekan kertymistä torjutaan riittävän tiheästi sijoitelluilla kiskokaivoilla ja säännöllisellä kiskouran puhdistuksella.
Kalustovauriot
Raitiovaunu voi suistua ohjaavien komponenttien, kuten pyörän tai akselin vaurioiden seurauksena. Raitiotien suunnittelussa tulee pyrkiä minimoimaan kalustoon kohdistuvia voimia rasitusvaurioiden ehkäisemiseksi.
Onnettomuuskuormat
Suistumisen seurauksia voidaan lieventää erilaisilla rakenteellisilla ratkaisuilla. Rajoittamisella pyritään rakenteellisesti rajoittamaan lisävahinkojen syntymistä. Raitiovaunun karkaamista rata-alueelta voidaan estää esimerkiksi kaiteella, suojapalkeilla tai -kiskoilla tai muilla vastaavilla rakenteilla. Toinen raitiotiekisko ei toimi suojakiskona.
Onnettomuuskuormien tarkastelussa tulee erottaa toisistaan kaksi eri mitoitusperustetta:
- suistuneen raitiovaunun ohjaaminen siten, ettei se suistu vesistöön, putoa korkealta penkereeltä tai suistu liikennöidylle väylälle
- raitiovaunun törmäys siltojen tai rakennusten kantaviin rakenteisiin
Kaluston suistuminen mitoitetaan Liikenneviraston sovellusohjeen NCCI1 rautatieliikennesiltoja koskevan ohjeistuksen mukaisesti, käyttäen raitiotien kuormakaaviota ja suistumista rajoittavana raideleveytenä 1000 mm.
Suistuneen raitiovaunun ohjaaminen
Suistuneen raitiovaunun liike tulee rajoittaa niin, ettei suistuminen aiheuta vaaraa raitiovaunun matkustajille, kuljettajalle tai raitiotien ympäristössä liikkuville tai oleileville ihmisille.
Suistuneen raitiovaunun kulkemista pyritään ohjaamaan joko suojakiskoilla, kiskoilla sekä sepelikerroksella tai suistuneen junan liikkeen ohjaavilla rakenneosilla tai suunnittelemalla sillan poikkileikkaus siten, että se ohjaa suistuneen raitiovaunun liikkeen.
Suojakiskojen tarvetta pyritään mahdollisuuksien mukaan välttämään, sillä suojakisko aiheuttaa radan päällysrakenteen kunnossapitoon näkökulmasta epäjatkuvuuskohdan.
| Sillan ja radan rakenne | Sillan pituus L < 30 m | Sillan pituus L > 30 m |
| Avoin ratarakenne, sillan reunapalkkien yläpinta on kiskon yläpinnan (ksk) tasossa tai ylempänä | Ei käytetä | Ei käytetä |
| Suljettu ratarakenne, sillan reunapalkkien yläpinta on 150 mm kiskon yläpinnan (ksk) yläpuolella tai ylempänä | Ei käytetä | Ei käytetä |
| Sepeliraide, tukikerroksen paksuus kiskojen kohdalla on vähintään 450 mm sekä keskilinjan etäisyys lähimmän reunapalkin sisäreunaan on vähintään 2400 mm. | Ei käytetä | Ei käytetä |
| Sepeliraide, keskilinjan etäisyys lähimmän reunapalkin sisäreunaan on alle 2400 mm. | Ei käytetä | Käytetään |
Sillan suunnittelussa on otettava huomioon raiteilta suistuneen raitiovaunun aiheuttamat kuormitukset ja varmistuttava rakenteen kestävyydestä ohjeen NCCI 1 rautatieliikennesiltoja koskevan ohjeistuksen mukaisesti.
Rakenteiden törmäyskuormat
Törmäyskuorma raitiotien ylittävien siltojen alusrakenteisiin on Liikenneviraston sovellusohjeen NCCI-1 taulukon F.4 mukainen ajoneuvoliikenteen törmäyskuorma:
| Törmäyskuorman suunta | Törmäyskuorma (kN) |
| Radan suuntaisesti | 825 |
| Kohtisuoraan rataan nähden, kun etäisyys raiteen reunasta on alle 4,5 m | 410 |
Törmäyskuormiin voi soveltaa Liikenneviraston sovellusohjeen NCCI-1 Kuvan F.2 voimien pienennyskertoimia.